夜间模式
  • 25059阅读
  • 20回复

[教育咨询]花桥的课改实验班,电子技术应用。  可以考江苏省内一本吗? [复制链接]

上一主题 下一主题
发帖
757
昆币
2113 枚
10楼 发表于: 2025-07-02 , 来自:江苏省0==
烹饪科目组可以考扬州大学,算不算一本
本帖评分记录
1358490587 昆币 +1 -来自昆山论坛APP 2025-07-02
1条评分昆币+1
爆料有奖!关注昆山论坛抖音号,抖音搜索“昆山论坛”,或搜索抖音号:ksbbs
 
离线jackyguo
级别: 昆山新人
发帖
145
昆币
194 枚
11楼 发表于: 2025-07-02 , 来自:江苏省0==
不管一本 还是二本,学历都是本科,关键还得看专业。
本帖评分记录
九香虫 昆币 +1 -来自昆山论坛APP 2025-07-02
1条评分昆币+1
爆料有奖!关注昆山论坛抖音号,抖音搜索“昆山论坛”,或搜索抖音号:ksbbs
 
美女离线1358490587
级别: 昆山过客
发帖
78
昆币
159 枚
12楼 发表于: 2025-07-02 , 来自:江苏省0==
为啥好多600分以上能上普高的不去非得课改班
楼中楼
  • 2025-07-02 05:44 jackyguo: 600分以上 应该不多吧? 570 580 估计不少
  • 2025-07-02 06:10 鹿城四哥: 被有流量的主播洗nao了
  • 2025-07-02 06:21 空门: 估计是被抖抖给**了,我看到608分、614、620、636分选课改的
  • 2025-07-02 07:42 范范的小红帽: 是的,很多甚至花桥蓬朗锦溪亭林普高都不上,反而上课改
  • 2025-07-02 08:35 精拌拌: 这种家长简直大聪明、以为可以弯道超车
  • 2025-07-02 09:00 范范的小红帽: 了解到是很多不愿意卷了,中学卷坏了,再卷高中人废了得不偿失,还是照顾到孩子心理和身体方面的居多,也有大聪明想扮猪吃老虎的
爆料有奖!关注昆山论坛抖音号,抖音搜索“昆山论坛”,或搜索抖音号:ksbbs
 
美女离线1358490587
级别: 昆山过客
发帖
78
昆币
159 枚
13楼 发表于: 2025-07-02 , 来自:江苏省0==
电子技术应用专业升本率是不是很低,有知道的吗
楼中楼
  • 2025-07-02 12:24 范范的小红帽: 不算低,好像比最后几名普高好多了
爆料有奖!关注昆山论坛抖音号,抖音搜索“昆山论坛”,或搜索抖音号:ksbbs
 
美女离线艾柠酒酒
发帖
2750
昆币
3782 枚
14楼 发表于: 2025-07-02 , 来自:江苏省0==
可以考上二本去考研,哪怕专升本后考研读博!一切皆有可能
楼中楼
  • 2025-07-02 07:51 范范的小红帽: 对,看他个人意愿无论怎样都是他最好的选择
  • 2025-07-02 12:26 范范的小红帽: 你找找我发的图片,回复我不知道怎么发图片
爆料有奖!关注昆山论坛抖音号,抖音搜索“昆山论坛”,或搜索抖音号:ksbbs
 
帅哥离线范范的小红帽
级别: 昆山过客
发帖
35
昆币
61 枚
15楼 发表于: 2025-07-02 , 来自:江苏省0==
江苏省发布的《江苏省2025年普通高等学校招生工作意见》中明确取消了一本、二本、三本划分,改为本科提前批、本科批、专科提前批、专科批。此外,随着四川、云南、陕西、山西等八个省份加入到新高考改革行列,也意味着存在20余年的一本和二本之分即将要退出历史舞台,新高考省份将会统一为本科线。
爆料有奖!关注昆山论坛抖音号,抖音搜索“昆山论坛”,或搜索抖音号:ksbbs
 
帅哥离线范范的小红帽
级别: 昆山过客
发帖
35
昆币
61 枚
16楼 发表于: 2025-07-02 , 来自:江苏省0==
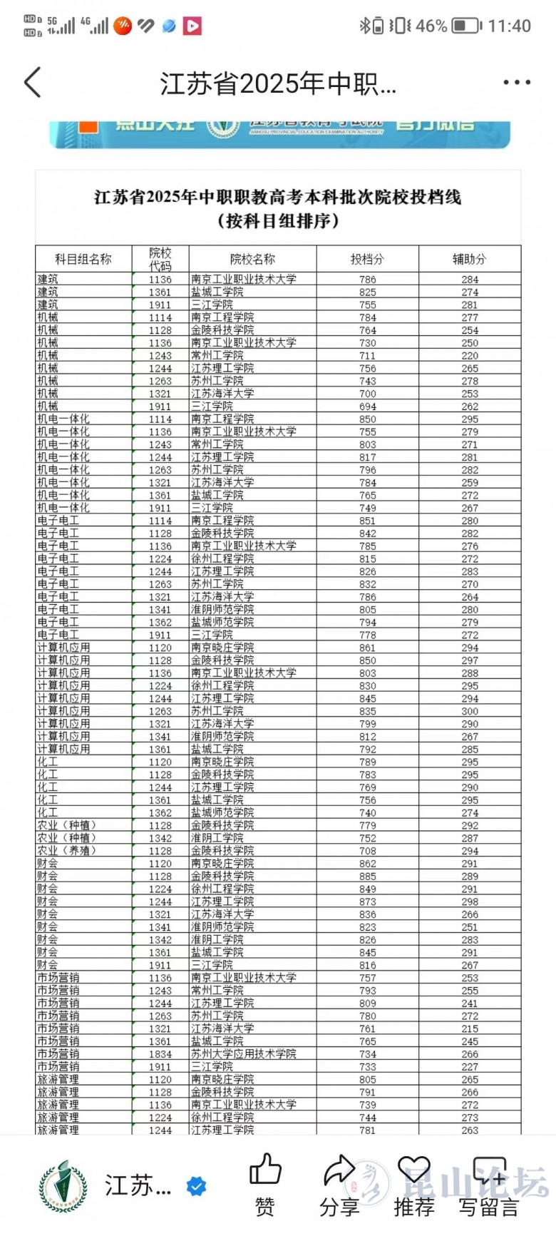
目前课改班毕业的可以选择的学校,这里边有一本吗?
本帖评分记录
范范的小红帽 昆币 +1 -来自昆山论坛APP 2025-07-02
1条评分昆币+1
爆料有奖!关注昆山论坛抖音号,抖音搜索“昆山论坛”,或搜索抖音号:ksbbs
 
离线小雅.
发帖
1618
昆币
138 枚
17楼 发表于: 2025-07-02 , 来自:江苏省0==
南京工程学院是一本
楼中楼
  • 2025-07-02 12:22 范范的小红帽: 那就是课改可以考一本,就是分数高么,谢谢
  • 2025-07-02 15:17 CANNY美好生活: 江苏海洋大学是一本
爆料有奖!关注昆山论坛抖音号,抖音搜索“昆山论坛”,或搜索抖音号:ksbbs
 
帅哥离线范范的小红帽
级别: 昆山过客
发帖
35
昆币
61 枚
18楼 发表于: 2025-07-02 , 来自:江苏省0==
楼中楼
  • 2025-07-06 10:37 windking523: 职二中上本率比职三低这么多,怎么分数线比职三高?
  • 2025-07-09 08:13 范范的小红帽: 好问题,那么机电608分的录取分数比好几所普通高中都高,没什么?分数没出来就选择学校,为什么?既然9年义务教育普及的,那么有身份证学生票为什么14周岁还要证明你是学生,然后户籍限制,路程限制,只有一点能解释,我们生活在一个很安全的神奇国度,全球之最
  • 2025-07-09 08:14 范范的小红帽: 因为可爱的党说了算
  • 2025-07-09 09:22 1358490587: 要看专业的,职二中理工科多学习难度高,本科率低点,职一中市场营销98%读本科,绘画会计专业本科率都高点的
  • 2025-07-09 09:31 范范的小红帽: 24年花桥的电子本科率74,职二中55,那么整体也拉跨
  • 2025-07-09 09:43 范范的小红帽: 可以这么理解,好的专业在职一职二差的在花桥,差的花桥专业升本率高,或者,好就业的升本率低在职一职二不太好就业的在花桥,所以他升本率高
  • 2025-07-09 09:48 范范的小红帽: 升本率高的以后薪水低的在花桥,升本低的以后薪水多的在职一职二,总之官方可以找很多理由说服你他的决策是对的
爆料有奖!关注昆山论坛抖音号,抖音搜索“昆山论坛”,或搜索抖音号:ksbbs
 
离线jackyguo
级别: 昆山新人
发帖
145
昆币
194 枚
19楼 发表于: 2025-07-03 , 来自:江苏省0==
楼中楼
  • 2025-07-03 18:47 范范的小红帽: 感谢,这里边有一本的大学吗?
  • 2025-07-03 21:08 与感情无关: 这里面最强的南京工程也称不上一本,算是强二本吧
  • 2025-07-04 13:58 范范的小红帽: 哦,谢谢
  • 2025-07-04 15:10 jackyguo: 干嘛要在乎一本还是二本,你看看高考要多少分才能上得到这些学校的这些专业
  • 2025-07-09 08:17 范范的小红帽: 850左右,据了解,稍微努力400分文化课280左右理论实践600分550分以上问题不大,再说了还的文化课好像说题比较简单
爆料有奖!关注昆山论坛抖音号,抖音搜索“昆山论坛”,或搜索抖音号:ksbbs
 
快速回复
限76 字节
如果您提交过一次失败了,可以用”恢复数据”来恢复帖子内容
 
上一个 下一个